中国培育钻石行业门户网站 钻石查询(老版入口)English
我的账户
培育钻石网

培育钻石行业门户网站

亲爱的游客,欢迎!

已有账号,请

如尚未注册?

行业资讯

培育钻石网 首页 资讯 行业资讯

南航、郑大与惠丰钻石:破解金刚石刻蚀关键难题,为热管理材料产业化提供新路径!

2026-4-13 19:00 来自: DT半导体 收藏 邀请

金刚石凭借超高硬度、极致导热性及优异的化学稳定性,在超硬工具、热管理、光学等领域具有不可替代的应用价值。然而,在制备铜、铝基金属基复合材料(MMCs)过程中,金刚石颗粒与金属基体间存在润湿性差、界面结合薄 ...

金刚石凭借超高硬度、极致导热性及优异的化学稳定性,在超硬工具、热管理、光学等领域具有不可替代的应用价值。然而,在制备铜、铝基金属基复合材料(MMCs)过程中,金刚石颗粒与金属基体间存在润湿性差、界面结合薄弱的关键难题,严重限制了复合材料综合性能的提升,成为制约其产业化应用的核心瓶颈。


已有研究证实,通过在金刚石表面构建微结构(如刻蚀坑),可有效提升界面结合强度,并优化复合材料内部热传输路径。因此,开发可控性强、效率高的金刚石表面刻蚀技术,已成为当前材料科学领域的研究热点与重要发展方向。



近日,南京航空航天大学、郑州大学与惠丰钻石组成的联合研究团队,在国际期刊《Diamond & Related Materials》发表题为《Study on the etching mechanism of different crystal planes of diamond in molten potassium nitrate》的研究论文,系统探究了熔融硝酸钾体系中金刚石不同晶面的刻蚀行为与内在机理。该研究从热力学、动力学及微观结构多尺度视角切入,明确了金刚石表面微结构的构建规律,为热管理复合材料的界面工程设计提供了重要的理论指导与实践参考。


该研究以HPHT法制备的Ib型金刚石颗粒为研究对象,采用熔融硝酸钾体系进行刻蚀处理,在600–700℃的温度范围内,借助SEM、拉曼光谱等表征手段,系统分析了金刚石{100}与{111}两种典型晶面的形貌演化特征。研究结果表明,金刚石刻蚀具有显著的晶面各向异性:{100}晶面经刻蚀后形成尺寸较小的方形刻蚀坑,而{111}晶面则形成尺寸更大的三角形刻蚀坑;随着刻蚀温度升高和时间延长,刻蚀坑的密度与尺寸持续增大,且逐步发生融合与表面重构现象。此外,刻蚀过程优先从金刚石表面缺陷(如位错、杂质富集区)启动,并向周围区域扩散,其中{111}晶面还呈现出从“尖底坑”向“平底坑”的演化特征。


在机理研究层面,团队从动力学与热力学双重角度揭示了刻蚀反应的本质:熔融硝酸钾对金刚石的刻蚀属于碳的氧化反应,在实验设定的温区内具有自发进行的特性,且高温环境可显著促进反应速率提升。尽管{111}晶面的刻蚀活化能高于{100}晶面,但由于其表面缺陷密度更高、活性位点更丰富,其刻蚀速率始终显著高于{100}晶面。拉曼光谱测试结果进一步证实,该刻蚀过程不会导致金刚石发生石墨化转变,其主体晶体结构保持稳定,仅表面发生氧化反应并生成气态产物脱附。综上,金刚石的刻蚀过程由表面缺陷主导启动,受不同晶向刻蚀速率的竞争作用控制,最终决定其表面微结构的最终形貌。


总体而言,该研究全面揭示了熔融硝酸钾体系中金刚石刻蚀的多尺度机制,从热力学可行性、动力学控制规律,到缺陷主导的微观反应路径,再到宏观形貌演化特征,构建了完整的理论研究框架。对于金刚石/铜、金刚石/铝等高导热金属基复合材料而言,该研究成果为其界面结构设计、制备工艺优化及性能提升提供了重要的理论依据与技术支撑。


从产业应用视角来看,随着AI算力提升、功率电子器件升级及高端封装技术发展,市场对散热材料的散热性能要求不断提高,金刚石作为极限热导材料的应用场景正加速拓展。而熔融硝酸钾刻蚀这类低成本、易规模化的表面工程技术,有望突破金刚石热管理材料产业化应用的工艺瓶颈,成为推动其大规模落地的关键技术路径之一。


图文导读

图片

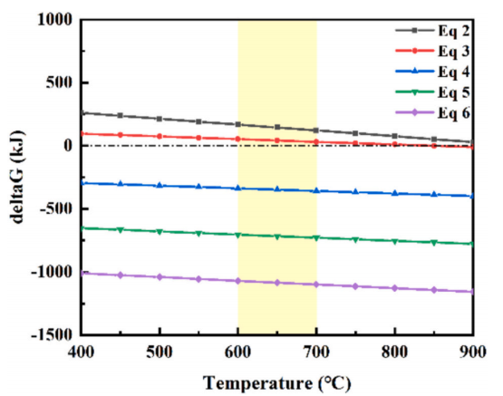
图1. 不同反应过程的ΔG-T图

图片

图2. 未蚀刻金刚石表面:(a)111晶面;(b)100晶面

图片

图3. 显示在不同温度下经30分钟蚀刻后金刚石{100}晶面表面形貌的扫描电子显微镜(SEM)图像:(a1, a2) 600 ◦C,(b1, b2) 625 ◦C,(c1, c2) 650 ◦C,(d1, d2) 675 ◦C,(e1, e2) 700 ◦C。


以上内容请谨慎参考

本文封面图源自网络,无任何商业用途

本文来源:DT半导体



免责声明培育钻石网发布此信息目的在于传播更多信息,与本站立场无关。部分内容来自互联网,不保证该信息(包括但不限于文字、图片、图表及数据)的准确性、真实性、完整性、有效性、及时性、原创性等,如无意中侵犯媒体或个人知识产权,请及时来电或致函告之,本站将在第一时间内给予删除处理。若是未经证实的信息仅供参考。侵权或不实信息举报邮箱至:tousu@lgdiamond.cn
该文章已有0人参与评论

请发表评论

全部评论

相关阅读

培育钻石网WWW.LGDIAMOND.CN
粉丝0 阅读1671 回复0
推荐品牌

培育钻石网创办于2019年,网站秉承“共享信息,共谋发展”的理念,致力于促进培育钻石行业发展,整合近百家上游厂商配套资源,上百家下游品牌和渠道资源,涵盖了钻石原料、生长设备、技术研发、生长切磨及品牌企业全产业信息,成为了国内外个人企业机构关注培育钻石,获取产业数据的重要平台。

关注我们
培育钻石网官方公众号
合作咨询
与创办人聊合作

网站使用协议|隐私政策|投稿须知|免责声明|账户注销协议|侵权投诉|意见反馈|社区|钻石查询|手机版|小黑屋| 网站地图
Copyright © 2019-2022 培育钻石网 深圳市新钻时代科技有限公司版权所有丨营业执照域名证书粤ICP备19160835号-1粤公网安备44030002002490号